오늘 방문
전체 방문

HOME > 공지사항 > 공지사항
공지사항
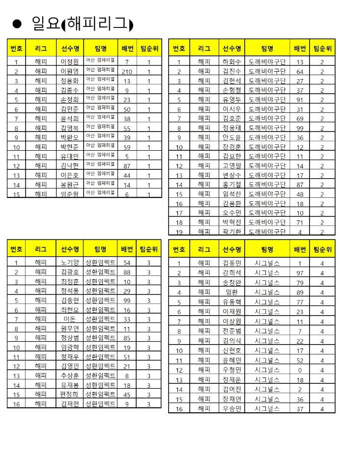
2025 주말리그(토,일) 플레이오프(팀,선수) 공유
작성자 박상현 2025.10.29(수) 00:00
댓글을 작성하시려면로그인해주세요.